Lexikon Geologie Geografie Geowissenschaften  
Suche :        
   A   B   C   D   E   F   G   H   I   J   K   L   M   N   O   P   Q   R   S   T   U   V   W   X   Y   Z   #   

 

 
 

korrigierte Absenkung

 
     
  die Korrektur gemessener Absenkungsbeträge bei einem Pumpversuch in einem freien Grundwasserleiter nach der 1963 von Jacob entwickelten Formel:

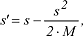
korrigierte Absenkungwobei s'=korrigierte Absenkung, s =gemessene Absenkung, M=wassererfüllte Mächtigkeit des freien Grundwasserleiters vor Versuchsbeginn. Sie ermöglicht die Auswertung des Versuchs mit denselben Formeln wie bei einem gespannten Grundwasserleiter. Die Korrektur der gemessenen Absenkungsbeträge ist hierbei notwendig, da in einem freien Grundwasserleiter die wassererfüllte Mächtigkeit nicht konstant ist und somit auch die Transmissivität T des Grundwasserleiters mit der Zeit kleiner wird, was der Definition der Transmissivität widerspräche.
 
 

 

 

 
 
Ein Bookmark auf diese Seite setzen:
 
 

 

 

 
 
<< vorheriger Begriff
 
nächster Begriff >>
korrespondierende Höhen
 
korrigierte Pinlinien
 
     

Weitere Begriffe : Oxidlagerstätten Zerscherung Floridastrom

 

 
Startseite GeoDZ
Copyright © 2010 GeoDZ.com. All rights reserved.  Nutzungsbedingungen  |  Datenschutzbestimmungen  |  Impressum