Lexikon Geologie Geografie Geowissenschaften  
Suche :        
   A   B   C   D   E   F   G   H   I   J   K   L   M   N   O   P   Q   R   S   T   U   V   W   X   Y   Z   #   

 

 
 

Radargleichung

 
     
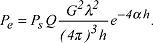
  beschreibt die Empfangsleistung Pe in einem Bodenradar. Sie lautet bei Annahme idealer Ankopplung der Antenne an den Boden:

RadargleichungDabei ist Ps die ausgestrahlte Leistung, Q der Wirkungsquerschnitt des Reflektors oder Diffraktors, G der Antennengewinn, λ die Wellenlänge im Untergrund und α der Absorptionskoeffizient des Gesteins.
 
 

 

 

 
 
Ein Bookmark auf diese Seite setzen:
 
 

 

 

 
 
<< vorheriger Begriff
 
nächster Begriff >>
Radarfall
 
Radargramm
 
     

Weitere Begriffe : EPS Generalisierungsregel visuelle Bildinterpretation

 

 
Startseite GeoDZ
Copyright © 2010 GeoDZ.com. All rights reserved.  Nutzungsbedingungen  |  Datenschutzbestimmungen  |  Impressum